Titel Logo
Wochenzeitung für die Gemeinde Breidenbach
Ausgabe 4/2025
Aus dem Rathaus wird berichtet
Zurück zur vorigen Seite
Zurück zur ersten Seite der aktuellen Ausgabe

Verkauf von Brennholz

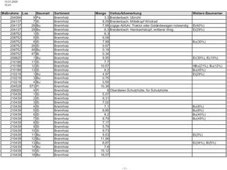
Die Gemeinde Breidenbach bietet Brennholz zum Verkauf an. Es werden Polter in verschiedenen Größen bereitgestellt.

Das Holz kann vor Kauf gerne besichtigt werden.

Interessierte Bürger können sich bei der

Holzvermarktungsorganisation

„Holzvermarktung im Hinterland“

telefonisch melden und ein Los, durch Angabe der Losnummer und des Lagerorts, käuflich erwerben.

Der Verkauf startet ab dem 27.01.25, 08.00 Uhr. Somit haben alle Interessenten die Möglichkeit zur vorherigen Besichtigung. Vorher werden keine Bestellungen entgegengenommen.

Der Preis beträgt für

-

Buche:

80€/FM (inkl.19% MwSt.)

-

Eiche:

80€/FM (inkl.19% MwSt.)

-

Nadelholz:

55€/ FM (inkl.19% MwSt.)

Kontakt:

Jasmin Koch, Tel. 06461/704-410

Wir weisen darauf hin, dass

  • die jeweiligen Maßnahmen- und Losnummern am Holz zu beachten sind, um Verwechslungen vorzubeugen.
  • aufgrund der hohen Nachfrage die Menge pro Haushalt und Jahr auf 10 Festmeter gedeckelt ist.
  • zum Kauf eines Brennholzloses ein gültiger Sägeschein des Käufers per Mail nachgewiesen werden muss.
  • die Aufarbeitung des Brennholzes nur mit persönlicher Schutzausrüstung (Sicherheitsschuhe, Schnittschutzhose, Sicherheitshelm) durchgeführt werden darf.
  • Motorsägen nur mit Sonderkraftstoff und biologisch abbaubarem Kettenöl betrieben werden dürfen.
  • der Hiebsort und die Hiebsmenge sich nach Gesichtspunkten der Waldpflege richten und eine Bereitstellung in unmittelbarer Nähe des Wohnortes nicht in allen Fällen gewährleistet werden kann.
  • der Kauf eines Loses verbindlich ist. Ein Umtausch ist ausgeschlossen.
  • der Rechnungsbetrag vor Beginn der Abfuhr zu zahlen ist. Mit eingehender Zahlung geht die Gefahr des Diebstahls auf den Käufer über.
  • der Brennholzkunde auf waldtypische Gefahren zu achten hat, insb. trockene Äste/Bäume.