Titel Logo
Fuldabrücker Nachrichten
Ausgabe 9/2026
Öffentliche Bekanntmachungen
Zurück zur vorigen Seite
Zurück zur ersten Seite der aktuellen Ausgabe
-

Öffentliche Bekanntmachungen

Bekanntmachung der TenneT TSO GmbH zur Netzverstärkung Landesbergen–Borken

Als Übertragungsnetzbetreiber ist die TenneT TSO GmbH in der Region verantwortlich für den Betrieb und bedarfsgerechten Ausbau des Stromnetzes und der Umspannwerke auf der Höchstspannungsebene.

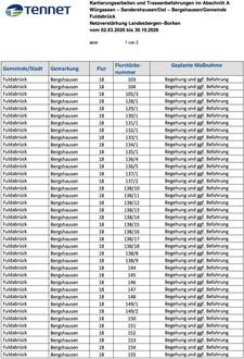
TenneT führt im Rahmen des Genehmigungsverfahrens zur Verstärkung und Sanierung der bestehenden 380-kV-Leitung Trassenbefahrungen und Tätigkeiten zur Beobachtung und Erfassung von Landschafts- und Artengruppen und zur Beurteilung der Lebensräume hinsichtlich ihrer Bedeutung für den Naturhaushalt und Artenschutz (Kartierungsarbeiten) durch.

Die Flurstücksliste sowie eine Abbildung des Untersuchungsraums finden Sie im Internet unter der Adresse www.tennet.eu/de/projekte/netzverstaerkung-landesbergen-borken.

Zudem sind die Dokumente während der Öffnungszeiten des Rathauses, Am Rathaus 2, Zimmer 201, 34277 Fuldabrück für die Dauer von sieben Werktagen zur Einsicht für jede Person ausgelegt.