Titel Logo
Amtsblatt der Gemeinde Südeichsfeld
Ausgabe 1/2025
Amtlicher Teil
Zurück zur vorigen Seite
Zurück zur ersten Seite der aktuellen Ausgabe

Amtliche Bekanntmachungen

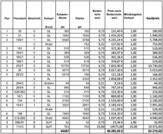
Die Gemeinde Südeichsfeld beabsichtigt, im Wege der öffentlichen Ausschreibung folgende Flächen in der Gemarkung Lengenfeld unterm Stein zu veräußern:

Die Flächen können einzeln, aber auch im Block erworben werden.

Abgabe der Angebote bitte bis 28.02.2025 an die

Gemeinde Südeichsfeld

Dienststelle Heyerode

Hauptstraße 22, 99988 Südeichsfeld OT Heyerode.

Andreas Henning

Bürgermeister