Titel Logo
Stadtilmer Anzeiger
Ausgabe 1/2023
Amtlicher Teil
Zurück zur vorigen Seite
Zurück zur ersten Seite der aktuellen Ausgabe

Öffentliche Bekanntmachung

Flurbereinigungsbereich Gotha

Hans-C.-Wirz-Straße 2

99867 Gotha

Flurbereinigungsverfahren Behringen

Az.: 1-3-0115

Öffentliche Bekanntmachung

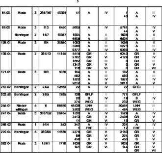
1. Änderung der Feststellung der Ergebnisse der Wertermittlung

Die mit Bescheid vom 16.03.2015 im Flurbereinigungsverfahren Behringen, Ilm-Kreis, festgestellten Ergebnisse der Wertermittlung werden gemäß § 32 Satz 3 des Flurbereinigungsgesetzes (FlurbG) vom 16.03.1976 (BGBl. I S. 546), zuletzt geändert durch Artikel 17 des Gesetzes vom 19.12.2008 (BGBl. I S. 2794), in Verbindung mit § 48 Verwaltungsverfahrensgesetz (VwVfG) von Amts wegen wie folgt geändert:

Gründe

Die Änderungen der Wertermittlungsergebnisse wurden für die o.g. Flurstücke wegen der Eintragung von Leitungsrechten und zur Abhilfe von zwei Widersprüchen vorgenommen. Die Änderung der Wertermittlung auf dem Flurstück der Ord.Nr. 255.01 erfolgte von amtswegen.

Eine Änderung des Wertermittlungsrahmens war nicht erforderlich.

Rechtsbehelfsbelehrung

Gegen diese Feststellung kann innerhalb einer Frist von einem Monat nach der öffentlichen Bekanntmachung Widerspruch eingelegt werden. Der Widerspruch ist schriftlich oder zur Niederschrift beim

Thüringer Landesamt für Bodenmanagement und Geoinformation

Flurbereinigungsbereich Gotha, Hans-C.-Wirz-Straße 2, 99867 Gotha

einzulegen.

Die Widerspruchsfrist (Satz 1) ist nur gewahrt, wenn der Widerspruch noch vor Ablauf der Frist bei der Behörde eingegangen ist.

Im Auftrag

gez. Sonja Leber —  (DS)

Referatsleiterin

Datenschutzrechtlicher Hinweis

Im oben genannten Verfahren werden auf der Grundlage von Art. 6 Abs. 1 Buchstabe c und e der Datenschutz-Grundverordnung (DS-GVO) personenbezogene Daten von Teilnehmern, sonstigen Beteiligten und Dritten verarbeitet.

Nähere Informationen zu Art und Verwendung dieser Daten, den zuständigen Ansprechpartnern sowie Ihren Rechten als betroffene Person können Sie auf der Internetseite des TLBG im Bereich Datenschutz oder direkt unter https://tlbg.thueringen.de/datenschutz abrufen. Auf Wunsch wird Ihnen auch eine Papierfassung zugesandt.