Amt für Landwirtschaft, Flurneuordnung
und Forsten Mitte, Außenstelle Wanzleben
- Flurbereinigungsbehörde -
Ritterstraße 17 - 19, 39164 Stadt Wanzleben - Börde
Az: 15.5 - 611B5.01/BK 0022/vAO-Nr. 03
A Verfügender Teil
1. Entscheidung
Gemäß § 36 Abs. 1 Flurbereinigungsgesetz (FlurbG) in der Fassung der Bekanntmachung vom 16.03.1976 (BGBl. I S. 546 ff.), zuletzt geändert durch Artikel 17 Jahressteuergesetz 2009 vom 19. Dezember 2008 (BGBl. I S. 2794) wird im vereinfachten Flurbereinigungsverfahren
Klein Wanzleben Zuckerdorf
im Landkreis Börde
mit der Verfahrenskennung BK 0022
zur Bereitstellung von Flächen für den vorzeitigen Ausbau gemeinschaftlicher Anlagen folgende vorläufige Anordnung Nr. 03 erlassen.
Den Beteiligten (Eigentümern, Pächtern und sonstigen Berechtigten) werden zur teilweisen Umsetzung der mit dem Plan nach § 41 FlurbG (Wege- und Gewässerplan mit landschaftspflegerischem Begleitplan) genehmigten Maßnahmen L07A und L07B zum 01.10.2023 Besitz und Nutzung der in der Anlage 1 aufgeführten Flächen zugunsten der Teilnehmergemeinschaft entzogen. Die vom Besitzentzug betroffenen Flächen sind in der zu dieser Anordnung gehörenden Besitzregelungskarte (Anlage 2) dargestellt.
Der Teilnehmergemeinschaft des vereinfachten Flurbereinigungsverfahrens Klein Wanzleben Zuckerdorf wird ab 01.10.2023 für den o.g. Zweck der Besitz der nach Anlage 1 entzogenen Flächen zugewiesen. Das Besitzrecht erstreckt sich auch auf die von der Teilnehmergemeinschaft zur Umsetzung der genehmigten Maßnahmen Beauftragten.
Die Regelungen dieser vorläufigen Anordnung gelten, vorbehaltlich einer abändernden oder aufhebenden Anordnung, bis zur vorläufigen Besitzeinweisung nach §§ 65 ff FlurbG bzw. bis zur Ausführungsanordnung nach §§ 61 ff FlurbG.
2. Nebenbestimmungen
Die durch diese Anordnung der Teilnehmergemeinschaft zugewiesenen Flächen sind durch die Teilnehmergemeinschaft vor Ausführung der Maßnahmen in der Örtlichkeit durch Markierungspfähle kenntlich abzustecken.
Während der Bauzeit sind alle erforderlichen Sicherheitsvorkehrungen zu treffen.
Die Teilnehmergemeinschaft hat sicherzustellen, dass die Nutzung der den Beteiligten verbleibenden Flächen durch die Bauarbeiten nicht unterbrochen wird. Überflüssige Behinderungen und Beeinträchtigungen der Bewirtschaftung für die verbleibenden Flächen/Teilflächen sind zu unterlassen.
Eine ordnungsgemäße Be- und Entwässerung auf den zugewiesenen Flächen ist durch die Teilnehmergemeinschaft sicherzustellen. Nachbarflächen sind dabei nicht zu beeinträchtigen.
Die der Teilnehmergemeinschaft nur vorübergehend zugewiesenen Flächen sind vor der Rückgabe ordnungsgemäß herzurichten bzw. zu rekultivieren.
3. Ausgleich von Härten
Die Festsetzung von Entschädigungen zum Ausgleich von Härten infolge des durch diese vorläufige Anordnung geforderten Flächenentzugs regelt der § 36 Abs. 1 FlurbG.
Für die in der Anlage 1 aufgeführten Flächen wird in der Regel keine Entschädigung festgesetzt. In Härtefällen - wenn die vorübergehenden Nachteile bei einzelnen Teilnehmern das Maß der den übrigen Teilnehmern entstehenden gleichartigen Nachteile erheblich übersteigen - kann auf Antrag eine angemessene Entschädigung gewährt werden. Die Entschädigung trägt die Teilnehmergemeinschaft. Deren Höhe wird mit gesondertem Bescheid durch das Amt für Landwirtschaft, Flurneuordnung und Forsten Mitte, Außenstelle Wanzleben festgesetzt.
4. Sofortige Vollziehung
Die sofortige Vollziehung dieser vorläufigen Anordnung wird gemäß § 80 Abs. 2 Nr. 4 Verwaltungsgerichtsordnung (VwGO) in der Fassung der Bekanntmachung vom 19.03.1991 (BGBl. I S. 686 ff), zuletzt geändert durch Artikel 1 des Gesetzes vom 14.03.2023 (BGBl. I 2023 Nr. 71), hiermit angeordnet, mit der Folge, dass Rechtsbehelfe gegen die vorläufige Anordnung keine aufschiebende Wirkung haben.
B Begründung
Mit Beschluss vom 11.09.2019, zuletzt geändert durch Änderungsanordnung Nr. 03 vom 15.06.2023, hat das Amt für Landwirtschaft, Flurneuordnung und Forsten Mitte, Außenstelle Wanzleben das vereinfachte Flurbereinigungsverfahren Klein Wanzleben Zuckerdorf mit der Verf.-Kennung: BK 0022 nach § 86 Flurbereinigungsgesetz (FlurbG) angeordnet.
Der Beschluss und die Änderungsanordnungen sind bestandskräftig.
Das o.g. vereinfachte Flurbereinigungsverfahren dient insbesondere der Verbesserung der Agrarstruktur. Ziel ist es, die Bewirtschaftung nachhaltig und rechtssicher zu gewährleisten und agrarstrukturelle Mängel in der Erschließung zu beseitigen. Das in der Örtlichkeit vorhandene Wegenetz soll unter Berücksichtigung einer modernen Bewirtschaftung hinsichtlich seines Ausbauzustandes verbessert werden. Mit dem Verfahren soll zersplitterter, unwirtschaftlich geformter Grundbesitz eigentumsrechtlich zusammengelegt werden. Ebenso sollen im Verfahren der Erhalt und die Weiterentwicklung der Leistungsfähigkeit des Naturhaushaltes Beachtung finden. Es wird durch geeignete Maßnahmen eine Vernetzung der vorhandenen Strukturen angestrebt.
Das Amt für Landwirtschaft, Flurneuordnung und Forsten Mitte, Außenstelle Wanzleben hat im Benehmen mit dem Vorstand der Teilnehmergemeinschaft Klein Wanzleben Zuckerdorf einen Wege- und Gewässerplan mit landschaftspflegerischem Begleitplan nach § 41 FlurbG aufgestellt. Dieser ist am 22.12.2021 vom Amt für Landwirtschaft, Flurneuordnung und Forsten Mitte genehmigt worden. Eine hinreichende Planungsgrundlage ist somit gegeben.
Der Vorstand der Teilnehmergemeinschaft Klein Wanzleben Zuckerdorf legte in seiner Sitzung am 20.01.2022 die Priorität für die Ausführung der ersten Maßnahmen aus dem genehmigten Wege- und Gewässerplan fest.
Die Teilnehmergemeinschaft beabsichtigt die landschaftsgestaltenden Maßnahmen L07A und L07B (naturverträglicher Umbau des Gehölzstreifens am Schaftalgraben) teilweise (Fäll- und Gehölzschnittarbeiten) bis Frühjahr 2024 umzusetzen.
Der Zustand der benötigten Flächen einschließlich deren Bestandteile ist festgestellt worden, soweit dies für die Wertermittlung und die Bemessung der Entschädigung von Bedeutung ist.
Nach § 36 Abs. 1 FlurbG kann die Flurbereinigungsbehörde eine vorläufige Anordnung erlassen, wenn es aus dringenden Gründen erforderlich wird, vor der Ausführung des Flurbereinigungsplanes den Besitz oder die Nutzung von Grundstücken zu regeln. Dringende Gründe liegen vor, wenn die angeordnete Maßnahme nicht bis zur Ausführung durch den Flurbereinigungsplan zurückgestellt werden kann.
Entlang dem Schaftalgraben befindet sich auf der gesamten Länge zwischen dem östlich gelegenen Lindenweg und der westlich liegenden Ortschaft Peseckendorf ein Gehölzstreifen mit Mischbepflanzung. Die Bepflanzung besteht vorrangig aus überalterten, abgängigen Pappeln. Sie wechselt in Größe und Breite und ist auch nicht geschlossen.
Um den vorhandenen Gehölzbestand zu verjüngen und ökologisch aufzuwerten sind zunächst Fäll- und Gehölzschnittarbeiten durchzuführen. Gleichzeitig wird damit der ländliche Wegebau am Schaftalgraben, der für 2024/2025 geplant ist, vorbereitet.
Für die Ausführung der Fäll- und Gehölzschnittarbeiten ist zwingend das Zeitfenster nach Naturschutzrecht einzuhalten. Demnach sind die Arbeiten im Spätherbst und Winter umzusetzen.
Um die Ziele des vereinfachten Flurbereinigungsverfahrens schnellstmöglich zu erreichen, wird die Umsetzung der Maßnahmen mit erheblichen öffentlichen Mitteln gefördert. Die sachgerechte Verwendung der für das Haushaltsjahr 2023/2024 bereitgestellten öffentlichen Mittel setzt eine planmäßige und fristgerechte Umsetzung der o.g. Maßnahmen voraus. Aufgrund des vorliegenden Bauablaufplanes und dem derzeitigen Stand der Vorbereitungen einschließlich feststehender Submissionstermine ist es zur Vermeidung von Verzögerungen dringend erforderlich, der Teilnehmergemeinschaft die benötigten Flächen zum 01.10.2023 zuzuweisen. Mit dem Beginn der Bauarbeiten kann nicht bis zur Regelung durch den Flurbereinigungsplan gewartet werden. Ein zeitlicher Verzug führt zu Nachteilen, die es im Interesse der Beteiligten des vereinfachten Flurbereinigungsverfahrens, aber auch im öffentlichen Interesse zu vermeiden gilt.
Die Anordnung der sofortigen Vollziehung dieser vorläufigen Anordnung liegt sowohl im öffentlichen Interesse als auch im überwiegenden Interesse der Beteiligten. Insoweit wird auf vorstehende Begründung zur vorläufigen Anordnung Bezug genommen.
Aus den dargelegten Gründen ist der Erlass der vorläufigen Anordnung Nr. 02 mit Anordnung der sofortigen Vollziehung recht- und zweckmäßig.
C Rechtsbehelfsbelehrung
Gegen diesen Beschluss kann innerhalb eines Monats nach Bekanntgabe Widerspruch erhoben werden. Der Widerspruch ist beim Amt für Landwirtschaft, Flurneuordnung und Forsten Mitte, Außenstelle Wanzleben, Ritterstraße 17 - 19, 39164 Stadt Wanzleben – Börde oder beim Amt für Landwirtschaft, Flurneuordnung und Forsten Mitte, Große Ringstraße 52, 38820 Halberstadt oder beim Landesverwaltungsamt Sachsen-Anhalt, Ernst-Kamieth-Straße 2, 06112 Halle/Saale
einzulegen.
Gegen die Anordnung der sofortigen Vollziehung kann beim Oberverwaltungsgericht des Landes Sachsen - Anhalt, Breiter Weg 203, 39104 Magdeburg Antrag auf Wiederherstellung der aufschiebenden Wirkung gestellt werden.
Im Auftrag | |
gez. Konstanze Cleve | (DS) |
Hinweis zum Datenschutz
Aufgrund des gesetzlichen Auftrages nach dem Flurbereinigungsgesetz werden im vorliegenden Flurbereinigungsverfahren personenbezogene Daten nach Maßgabe der Datenschutzgrundverordnung (DSGVO) verarbeitet. Die datenschutzrechtlichen Hinweise können im Internet unter: www.lsaurl.de/alffmittedsgvo eingesehen werden oder sind beim ALFF Mitte erhältlich.
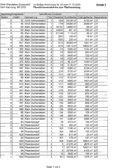
| Besitzregelungskarte | betroffenes Flurstück |
|
| ||||
| Blattnr. | OrdNr. | Flur | Flurstück | Buchfläche | Entzugsfläche | Massnahme | |
| 5 | 52 | Groß Germersleben | 1 | 16/5 | 29100 m² | 4133 m² | L07 |
| 5 | 49 | Groß Germersleben | 1 | 17/5 | 34390 m² | 2548 m² | L07 |
| 4 | 63 | Klein Oschersleben | 2 | 141/51 | 12894 m² | 68 m² | L07 |
| 4 | 63 | Klein Oschersleben | 2 | 144/47 | 691 m² | 190 m² | L07 |
| 4 | 63 | Klein Oschersleben | 2 | 211/49 | 1110 m² | 30 m² | L07 |
| 4 | 63 | Klein Oschersleben | 2 | 60/1 | 120 m² | 18 m² | L07 |
| 4 | 63 | Klein Oschersleben | 2 | 60/3 | 230 m² | 311 m² | L07 |
| 4 | 427 | Klein Oschersleben | 2 | 61/3 | 28389 m² | 1097 m² | L07 |
| 4 | 426 | Klein Oschersleben | 2 | 61/5 | 19214 m² | 14633 m² | L07 |
| 4, 5 | 365 | Klein Oschersleben | 8 | 1/3 | 5050 m² | 1191 m² | L07 |
| 5 | 430 | Klein Oschersleben | 8 | 1/4 | 6245 m² | 943 m² | L07 |
| 5 | 447 | Klein Oschersleben | 8 | 1/5 | 5435 m² | 722 m² | L07 |
| 5 | 393 | Klein Oschersleben | 8 | 1/6 | 5320 m² | 741 m² | L07 |
| 5 | 375 | Klein Oschersleben | 8 | 1/7 | 4510 m² | 1230 m² | L07 |
| 5 | 394 | Klein Oschersleben | 8 | 1/8 | 5130 m² | 1910 m² | L07 |
| 5 | 447 | Klein Oschersleben | 8 | 1/9 | 5290 m² | 3154 m² | L07 |
| 5 | 447 | Klein Oschersleben | 8 | 1/10 | 5725 m² | 2338 m² | L07 |
| 5 | 395 | Klein Oschersleben | 8 | 1/11 | 5815 m² | 1165 m² | L07 |
| 5 | 59 | Klein Oschersleben | 8 | 1/12 | 5720 m² | 1178 m² | L07 |
| 5 | 447 | Klein Oschersleben | 8 | 1/13 | 6905 m² | 1451 m² | L07 |
| 5 | 410 | Klein Oschersleben | 8 | 1/17 | 4865 m² | 690 m² | L07 |
| 5 | 447 | Klein Oschersleben | 8 | 1/18 | 5660 m² | 981 m² | L07 |
| 5 | 447 | Klein Oschersleben | 8 | 1/19 | 3345 m² | 698 m² | L07 |
| 5 | 447 | Klein Oschersleben | 8 | 1/20 | 5610 m² | 822 m² | L07 |
| 5 | 431 | Klein Oschersleben | 8 | 1/21 | 5580 m² | 795 m² | L07 |
| 5 | 367 | Klein Oschersleben | 8 | 1/22 | 5945 m² | 892 m² | L07 |
| 5 | 447 | Klein Oschersleben | 8 | 1/23 | 5855 m² | 808 m² | L07 |
| 5 | 447 | Klein Oschersleben | 8 | 1/24 | 5630 m² | 949 m² | L07 |
| 5 | 386 | Klein Oschersleben | 8 | 1/25 | 5390 m² | 1005 m² | L07 |
| 5 | 66 | Klein Oschersleben | 8 | 1/44 | 5590 m² | 128 m² | L07 |
| 5 | 66 | Klein Oschersleben | 8 | 1/46 | 3800 m² | 5845 m² | L07 |
| 5 | 66 | Klein Oschersleben | 8 | 1/47 | 5280 m² | 4566 m² | L07 |
| 2 | 83 | Peseckendorf | 1 | 78 | 4774 m² | 136 m² | L07 |
| 2 | 83 | Peseckendorf | 1 | 79 | 462 m² | 123 m² | L07 |
| 2 | 629 | Peseckendorf | 1 | 16/3 | 7180 m² | 4729 m² | L07 |
| 2 | 94 | Peseckendorf | 1 | 16/4 | 198 m² | 133 m² | L07 |
| 2 | 629 | Peseckendorf | 1 | 16/5 | 611 m² | 24 m² | L07 |
| 2 | 94 | Peseckendorf | 1 | 16/7 | 476 m² | 437 m² | L07 |
| 2 | 629 | Peseckendorf | 1 | 16/8 | 31493 m² | 10803 m² | L07 |
| 1 | 601 | Peseckendorf | 2 | 3 | 47235 m² | 2678 m² | L07 |
| 1 | 629 | Peseckendorf | 2 | 7 | 25779 m² | 10401 m² | L07 |
| 1 | 84 | Peseckendorf | 2 | 8 | 29789 m² | 4108 m² | L07 |
| 1 | 94 | Peseckendorf | 2 | 15 | 3842 m² | 196 m² | L07 |
| 1 | 604 | Peseckendorf | 2 | 9/1 | 10339 m² | 1478 m² | L07 |
| Besitzregelungskarte | betroffenes Flurstück |
|
| ||||
| Blattnr. | OrdNr. | Gemarkung | Flur | Flurstück | Buchfläche | Entzugsfläche | Massnahme |
| 1 | 633 | Peseckendorf | 2 | 9/2 | 10340 m² | 786 m² | L07 |
| 1 | 792 | Peseckendorf | 2 | 9/3 | 10340 m² | 2691 m² | L07 |
| 1, 2 | 603 | Peseckendorf | 2 | 16/1 | 17500 m² | 42 m² | L07 |
| 1, 2 | 599 | Peseckendorf | 2 | 16/2 | 19113 m² | 9928 m² | L07 |
| 2 | 97 | Peseckendorf | 4 | 1 | 6180 m² | 205 m² | L07 |
| 4 | 97 | Peseckendorf | 4 | 9 | 1349 m² | 30 m² | L07 |
| 2, 3 | 617 | Peseckendorf | 4 | 7/2 | 1617 m² | 1197 m² | L07 |
| 3 | 632 | Peseckendorf | 4 | 7/3 | 1709 m² | 805 m² | L07 |
| 3 | 632 | Peseckendorf | 4 | 7/4 | 1735 m² | 617 m² | L07 |
| 3 | 651 | Peseckendorf | 4 | 7/5 | 1759 m² | 557 m² | L07 |
| 3 | 651 | Peseckendorf | 4 | 7/6 | 1725 m² | 491 m² | L07 |
| 3 | 612 | Peseckendorf | 4 | 7/7 | 1758 m² | 470 m² | L07 |
| 3 | 600 | Peseckendorf | 4 | 7/8 | 1755 m² | 458 m² | L07 |
| 3 | 661 | Peseckendorf | 4 | 7/9 | 1760 m² | 486 m² | L07 |
| 3 | 598 | Peseckendorf | 4 | 7/10 | 1776 m² | 530 m² | L07 |
| 3 | 88 | Peseckendorf | 4 | 7/11 | 1809 m² | 558 m² | L07 |
| 3 | 632 | Peseckendorf | 4 | 7/12 | 1792 m² | 579 m² | L07 |
| 3 | 621 | Peseckendorf | 4 | 7/13 | 1789 m² | 563 m² | L07 |
| 3 | 627 | Peseckendorf | 4 | 7/14 | 1808 m² | 589 m² | L07 |
| 3 | 627 | Peseckendorf | 4 | 7/15 | 1809 m² | 549 m² | L07 |
| 3 | 621 | Peseckendorf | 4 | 7/16 | 1799 m² | 571 m² | L07 |
| 3 | 618 | Peseckendorf | 4 | 7/17 | 1799 m² | 507 m² | L07 |
| 3 | 621 | Peseckendorf | 4 | 7/18 | 1821 m² | 440 m² | L07 |
| 3 | 87 | Peseckendorf | 4 | 7/19 | 1789 m² | 486 m² | L07 |
| 3 | 621 | Peseckendorf | 4 | 7/20 | 1777 m² | 538 m² | L07 |
| 3 | 88 | Peseckendorf | 4 | 7/21 | 1782 m² | 532 m² | L07 |
| 3 | 618 | Peseckendorf | 4 | 7/22 | 1776 m² | 584 m² | L07 |
| 3 | 89 | Peseckendorf | 4 | 7/23 | 1810 m² | 793 m² | L07 |
| 3 | 621 | Peseckendorf | 4 | 7/24 | 1916 m² | 1337 m² | L07 |
| 3 | 90 | Peseckendorf | 4 | 7/25 | 1683 m² | 1340 m² | L07 |
| 3 | 621 | Peseckendorf | 4 | 7/26 | 1793 m² | 1365 m² | L07 |
| 3 | 88 | Peseckendorf | 4 | 7/27 | 1771 m² | 1453 m² | L07 |
| 3 | 618 | Peseckendorf | 4 | 7/28 | 1790 m² | 1438 m² | L07 |
| 3, 4 | 617 | Peseckendorf | 4 | 7/29 | 1791 m² | 1371 m² | L07 |
| 4 | 589 | Peseckendorf | 4 | 7/30 | 1858 m² | 1358 m² | L07 |
| 4 | 657 | Peseckendorf | 4 | 7/31 | 1838 m² | 1267 m² | L07 |
| 4 | 621 | Peseckendorf | 4 | 7/32 | 1825 m² | 1232 m² | L07 |
| 4 | 580 | Peseckendorf | 4 | 7/33 | 1802 m² | 1221 m² | L07 |
| 4 | 641 | Peseckendorf | 4 | 7/34 | 1711 m² | 1022 m² | L07 |
| 2 | 632 | Peseckendorf | 4 | 10/1 | 11784 m² | 7915 m² | L07 |
| 2 | 621 | Peseckendorf | 4 | 10/2 | 20835 m² | 1143 m² | L07 |