Titel Logo
Amtsblatt der Einheitsgemeinde Stadt Arnstein
Ausgabe 4/2023
Amtliche Bekanntmachungen
Zurück zur vorigen Seite
Zurück zur ersten Seite der aktuellen Ausgabe

3. Änderung des vorhabenbezogenen Bebauungsplanes Nr. 1 Windpark Quenstedt - Bekanntmachung

Karte nicht maßstäblich

3. Änderung des vorhabenbezogenen Bebauungsplans Nr. 1 „Windpark Quenstedt“

Bekanntmachung der frühzeitigen Öffentlichkeitsbeteiligung zum Vorentwurf gemäß § 3 Absatz 1 Baugesetzbuch (BauGB)

Der Stadtrat der Stadt Arnstein hat in seiner Sitzung am 6. Juli 2023 den Vorentwurf der 3. Änderung des vorhabenbezogenen Bebauungsplans Nr. 1 „Windpark Quenstedt“ in der Gemarkung Quenstedt in der Fassung Mai 2023 beschlossen und die Begründung zum Vorentwurf gebilligt. Die gemäß § 3 Absatz 1 BauGB erforderliche frühzeitige Unterrichtung der Öffentlichkeit sowie die Beteiligung der Behörden und sonstigen Träger öffentlicher Belange gemäß § 4 Absatz 1 BauGB sind nach den gesetzlichen Vorgaben durchzuführen (Beschluss Nr. 217-26-2023).

Der Geltungsbereich der 3. Änderung des vorhabenbezogenen Bebauungsplans Nr. 1 „Windpark Quenstedt“ entspricht dem Geltungsbereich der derzeit rechtskräftigen Satzung. Der Geltungsbereich ist in der nachfolgenden Übersichtskarte dargestellt:

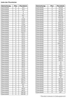
Der räumliche Geltungsbereich umfasst folgende Flurstücke:

Derzeit werden innerhalb des Geltungsbereiches 11 Windkraftanlagen betrieben. Eine weitere Windkraftanlage wird zurzeit errichtet. Ziel der Aufstellung der 3. Änderung des vorhabenbezogenen Bebauungsplans Nr. 1 „Windpark Quenstedt“ ist ein Repowering. Im Zuge des geplanten Repowering sollen 8 bestehende Windkraftanlagen durch 6 größere und leistungsstärkere Windkraftanlagen ersetzt werden.

Die gemäß § 3 Absatz 1 BauGB erforderliche frühzeitige Unterrichtung der Öffentlichkeit soll in Form einer öffentlichen Auslegung durchgeführt werden. Der Vorentwurf der 3. Änderung des vorhabenbezogenen Bebauungsplans Nr. 1 „Windpark Quenstedt“ bestehend aus der Planzeichnung und der Begründung, Stand Mai 2023 liegt in der Zeit

vom 21.08.2023 bis einschließlich 22.09.2023

im Verwaltungsamt der Stadt Arnstein, Bauamt Zimmer 19, Eislebener Chaussee 2, 06456 Arnstein OT Quenstedt während folgender Öffnungszeiten zu jedermanns Einsicht öffentlich aus:

Montag

09:00 bis 12:00 Uhr

Dienstag

09:00 bis 12:00 Uhr und 13:00 bis 15:30 Uhr

Mittwoch

geschlossen

Donnerstag

09:00 bis 12:00 Uhr und 13:00 bis 17:30 Uhr

Freitag

09:00 bis 12:00 Uhr.

Darüber hinaus ist die Einsichtnahme im Internet auf der Homepage der Stadt Arnstein möglich (www.arnstein-harz.de -> Veröffentlichungen -> Bauleitplanung) sowie auf der Seite des Sachsen-Anhalt-Viewer unter der Themenkarte „Planen und Bauen“ (www.lvermgeo.sachsen-anhalt.de -> Geodaten und Karten -> Sachsen-Anhalt Viewer) möglich.

Während der Veröffentlichungsfrist können von jedermann Bedenken und Anregungen zum Vorentwurf der 3. Änderung des vorhabenbezogenen Bebauungsplans Nr. 1 „Windpark Quenstedt“ schriftlich (auch per E-Mail) oder zur Niederschrift bei der Stadt Arnstein, Eislebener Chaussee 2, 06456 Arnstein (E-Mail: post@arnstein-harz.de) vorgebracht werden.

Es wird darauf hingewiesen, dass Stellungnahmen während der Veröffentlichungsfrist abgegeben werden können und dass nicht fristgerecht abgegebene Stellungnahmen bei der Beschlussfassung über den Bauleitplan unberücksichtigt bleiben können.

Hinweis: Die Behörden und sonstigen Träger öffentlicher Belange sowie die Nachbargemeinden werden gemäß § 4 Absatz 1 BauGB beteiligt und zur Äußerung auch im Hinblick auf den erforderlichen Umfang und Detaillierungsgrad der Umweltprüfung nach § 2 Absatz 4 BauGB aufgefordert.

Arnstein, den 25.07.2023

Sehnert
Bürgermeister