Titel Logo
Amtsblatt der Einheitsgemeinde Stadt Arnstein
Ausgabe 4/2025
Amtliche Bekanntmachungen
Zurück zur vorigen Seite
Zurück zur ersten Seite der aktuellen Ausgabe

Amtliche Bekanntmachung der Stadt Arnstein

Karte nicht maßstäblich

4. Änderung des vorhabenbezogenen Bebauungsplans Nr. 1 „Windpark Quenstedt“

Bekanntmachung des Aufstellungsbeschlusses gemäß § 2 Abs. 1 Baugesetzbuch (BauGB)

Der Stadtrat der Stadt Arnstein hat in seiner Sitzung am 7. August 2025 die Aufstellung der 4. Änderung des vorhabenbezogenen Bebauungsplans Nr. 1 „Windpark Quenstedt“ östlich der B180 beschlossen. Der Geltungsbereich entspricht der rechtskräftigen Festsetzung der 3. Änderung des vorhabenbezogenen Bebauungsplans Nr. 1 „Windpark Quenstedt“ (Beschluss-Nr. 94-09-2025).

Der Geltungsbereich ist in der nachfolgenden Übersichtskarte dargestellt:

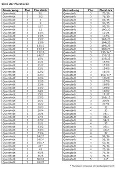
Der räumliche Geltungsbereich umfasst folgende Flurstücke:

Derzeit werden innerhalb des Geltungsbereiches 12 Windkraftanlagen betrieben. Ziel der Aufstellung der 4. Änderung des vorhabenbezogenen Bebauungsplans Nr. 1 „Windpark Quenstedt“ ist ein Repowering. Im Zuge des geplanten Repowering sollen zwei bestehende Windkraftanlagen durch zwei größere und leistungsstärkere Windkraftanlagen ersetzt werden.

Die Aufstellung der 4. Änderung des vorhabenbezogenen Bebauungsplans Nr. 1 „Windpark Quenstedt“ wird hiermit ortsüblich bekannt gemacht.

Arnstein, den 08.08.2025

Klaus
Bürgermeisterin