Titel Logo
Amtsblatt der Einheitsgemeinde Stadt Arnstein
Ausgabe 5/2024
Amtliche Bekanntmachungen
Zurück zur vorigen Seite
Zurück zur ersten Seite der aktuellen Ausgabe

Amtliche Bekanntmachung der Stadt Arnstein

3. Änderung des vorhabenbezogenen Bebauungsplans Nr. 1 „Windpark Quenstedt“

Beteiligung der Öffentlichkeit zum Planentwurf gemäß § 3 Absatz 2 Baugesetzbuch (BauGB)

Der Stadtrat der Stadt Arnstein hat in seiner Sitzung am 16. Mai 2024 den Planentwurf der 3. Änderung des vorhabenbezogenen Bebauungsplans Nr. 1 „Windpark Quenstedt“ sowie den Vorhaben- und Erschließungsplan in der Gemarkung Quenstedt in der Fassung April 2024 beschlossen und den Entwurf der Begründung einschließlich Umweltbericht gebilligt (Beschluss Nr. 279-32-2024).

Bei der Bekanntmachung der Unterlagen ist jedoch ein Formfehler unterlaufen, sodass die Bekanntmachung und die Beteiligung der Öffentlichkeit gemäß § 3 Absatz 2 BauGB wiederholt wird. Die Beteiligung der Behörden und sonstigen Träger öffentlicher Belange erfolgte gemäß § 4 Absatz 2 BauGB. Änderungen an der Schallimmissionsprognose und die Konkretisierung einer Kompensationsmaßnahme führen zu einer partiellen erneuten Beteiligung der unteren Immissionsschutzbehörde und der unteren Naturschutzbehörde des Landkreises Mansfeld-Südharz. Zudem wird der benachbarte Salzlandkreis um Stellungnahme gebeten.

Durch die Änderung der Schallimmissionsprognose kam es zu notwendigen Folgeanpassungen in den Unterlagen, die mit aktuellem Stand aus September 2024 veröffentlicht werden und in diesem Punkt von den zur Auslegung beschlossenen Unterlagen abweichen. Nach § 4a Nr. 3 BauGB ist die Beteiligung zu wiederholen, wenn Änderungen zu einer erstmaligen oder stärkeren Berührung von Belangen führen. Dies ist hier nicht der Fall, da bereits in den ursprünglich veröffentlichten Unterlagen in der Schallimmissionsprognose die Einhaltung der nächtlichen Richtwerte dargelegt wurde. Auch weiterhin ist sichergestellt, dass an allen maßgeblichen Immissionsorten die Richtwerte eingehalten werden können, es kommt nicht zu einer stärkeren Berührung von Belangen. Veränderte Immissionspegel an einzelnen Immissionsorten sind lediglich auf die Veränderungen in der Vorbelastung zurückzuführen und nicht durch das Bebauungsplanverfahren verursacht.

Der Geltungsbereich der 3. Änderung des vorhabenbezogenen Bebauungsplans Nr. 1 „Windpark Quenstedt“ entspricht dem Geltungsbereich der derzeit rechtskräftigen Satzung. Der Geltungsbereich ist in der nachfolgenden Übersichtskarte dargestellt:

Karte nicht maßstäblich

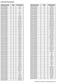
Der räumliche Geltungsbereich umfasst folgende Flurstücke:

Derzeit werden innerhalb des Geltungsbereiches 12 Windkraftanlagen betrieben. Ziel der Aufstellung der 3. Änderung des vorhabenbezogenen Bebauungsplans Nr. 1 „Windpark Quenstedt“ ist ein Repowering. Im Zuge des geplanten Repowering sollen 8 bestehende Windkraftanlagen durch 6 größere und leistungsstärkere Windkraftanlagen ersetzt werden.

Gemäß § 3 Abs. 2 BauGB sind die Entwürfe der Bauleitpläne mit der Begründung und den nach Einschätzung der Gemeinde wesentlichen, bereits vorliegenden umweltbezogenen Stellungnahmen für die Dauer eines Monats, mindestens jedoch für die Dauer von 30 Tagen, im Internet zu veröffentlichen.

Die Veröffentlichung des Planentwurfs der 3. Änderung des vorhabenbezogenen Bebauungsplans Nr. 1 „Windpark Quenstedt“ sowie des Vorhaben- und Erschließungsplans mit dem Entwurf der Begründung einschließlich Umweltbericht sowie den weiteren nach Einschätzung der Gemeinde wesentlichen, bereits vorliegenden umweltbezogenen Stellungnahmen erfolgt auf der Homepage der Stadt Arnstein (www.arnstein-harz.de à Veröffentlichungen à Bauleitplanung) sowie auf der Seite des Sachsen-Anhalt-Viewer unter der Themenkarte „Planen und Bauen“ (www.lvermgeo.sachsen-anhalt.de à Geodaten und Karten à Sachsen-Anhalt Viewer) in der Zeit

vom 21.10.2024 bis einschließlich 22.11.2024.

Zusätzlich zur Veröffentlichung im Internet werden die Planunterlagen im vorgenannten Veröffentlichungszeitraum im Verwaltungsamt der Stadt Arnstein, Bauamt Zimmer 19, Eislebener Chaussee 2, 06456 Arnstein OT Quenstedt während folgender Öffnungszeiten zu jedermanns Einsicht öffentlich ausgelegt:

Montag

09:00 bis 12:00 Uhr

Dienstag

09:00 bis 12:00 Uhr und 13:00 bis 15:30 Uhr

Mittwoch

geschlossen

Donnerstag

09:00 bis 12:00 Uhr und 13:00 bis 17:30 Uhr

Freitag

09:00 bis 12:00 Uhr.

Folgende Arten umweltbezogener Informationen sind im Umweltbericht und den weiteren umweltbezogenen Unterlagen verfügbar:

  • Beschreibung des derzeitigen Umweltzustandes und Bewertung der voraussichtlichen Umweltauswirkungen auf die in § 1 Abs. 6 Nr. 7 BauGB genannten Schutzgüter zusammen mit den ergänzenden Vorschriften zum Umweltschutz des § 1a BauGB, insbesondere
  • Fläche – Informationen zur Flächeninanspruchnahme und -bedarf, möglichen Auswirkungen infolge der Planung, einschließlich Formulierung von Minimierungsmaßnahmen
  • Boden – Informationen zu den Bodenverhältnissen, möglichen Auswirkungen infolge der Planung auf die Bodenstruktur und –Funktionen, einschließlich Formulierung von Vermeidungsmaßnahmen und möglichen Ausgleichsmaßnahmen
  • Wasser – Informationen zu möglichen Auswirkungen infolge der Planung, einschließlich Vermeidungsmaßnahmen
  • Luft und Klima – Informationen zu möglichen Auswirkungen infolge der Planung
  • Pflanzen und Biotope - Aussagen zur potentiell natürlichen Vegetation, Biotoptypen sowie möglichen bau-, anlagenbedingten Wirkungen infolge der Planung, einschließlich Formulierung von Vermeidungsmaßnahmen und möglichen Ausgleichsmaßnahmen
  • Tiere – Informationen zu den Auswirkungen der Planung insbesondere auf Brutvögel (hier besonders Rot- und Schwarzmilan), Zug- und Rastvögel, Fledermäuse sowie Feldhamster - einschließlich Aussagen zu den Verbotstatbeständen gemäß § 44 BNatSchG
  • Biologische Vielfalt - Informationen zu möglichen Auswirkungen infolge der Planung
  • Landschaft – Informationen zu den Landschaftsraumeinheiten und zu den entstehenden Veränderungen im Landschaftsraum sowie möglichen bau-, anlage- und betriebsbedingten Wirkungen infolge der Planung, einschließlich Formulierung von Vermeidungsmaßnahmen und möglichen Ausgleichsmaßnahmen
  • Mensch/Gesundheit/Bevölkerung – Informationen zu bau-, anlage- und betriebsbedingten Beeinträchtigungen, ausdrücklich zu Schallimmissionen und Schattenwurf unter Berücksichtigung der vorhandenen Windkraftanlagen sowie Maßnahmen zur Vermeidung von Beeinträchtigungen
  • Kulturgüter und sonstige Sachgüter – Informationen zu möglichen Auswirkungen infolge der Planung, einschließlich Vermeidungsmaßnahmen
  • Eingriffs- Ausgleichsbilanz - Bilanzierung der Eingriffe, die durch die Planung vorbereitet werden, Festlegung von Maßnahmen zur Verminderung und Vermeidung von Beeinträchtigungen sowie Ausgleichs- und Ersatzmaßnahmen entsprechend §§ 14 und 15 BNatSchG.

Es werden folgende wesentliche, umweltbezogene Stellungnahmen veröffentlicht:

  • Schallimmissionsprognose zur 3. Änderung des vorhabenbezogenen Bebauungsplans Nr. 01 „Windpark Quenstedt“ Stadt Arnstein, Stand September 2024
  • Artenschutzrechtlicher Fachbeitrag zur 3. Änderung des vorhabenbezogenen Bebauungsplans Nr. 01 „Windpark Quenstedt“ Stadt Arnstein, Stand Februar 2024
  • Stellungnahme des Landkreis Mansfeld – Südharz vom 13.10.2023 zur 3. Änderung des vorhabenbezogenen Bebauungsplans Nr. 01 „Windpark Quenstedt“ Stadt Arnstein, Fassung Vorentwurf, Stand Mai 2023

  • Stellungnahme des Landesamtes für Denkmalpflege und Archäologie Sachsen – Anhalt vom 04.09.2023 zur 3. Änderung des vorhabenbezogenen Bebauungsplans Nr. 01 „Windpark Quenstedt“ Stadt Arnstein, Fassung Vorentwurf, Stand Mai 2023
  • Stellungnahme des Landesamtes für Geologie und Bergwesen Sachsen - Anhalt vom 06.10.2023 zur 3. Änderung des vorhabenbezogenen Bebauungsplans Nr. 01 „Windpark Quenstedt“ Stadt Arnstein, Fassung Vorentwurf, Stand Mai 2023
  • Stellungnahme des Amtes für Landwirtschaft, Flurneuordnung und Forsten Süd vom 24.10.2023 zur 3. Änderung des vorhabenbezogenen Bebauungsplans Nr. 01 „Windpark Quenstedt“ Stadt Arnstein, Fassung Vorentwurf, Stand Mai 2023

Während der Veröffentlichungsfrist können von jedermann Bedenken und Anregungen zum Planentwurf der 3. Änderung des vorhabenbezogenen Bebauungsplans Nr. 1 „Windpark Quenstedt“ abgegeben werden. Sie sollen elektronisch übermittelt werden (E-Mail: post@arnstein-harz.de), können bei Bedarf auch auf anderem Weg abgegeben werden (Anschrift: Stadt Arnstein, Eislebener Chaussee 2, 06456 Arnstein).

Es wird darauf hingewiesen, dass Stellungnahmen während der Veröffentlichungsfrist abgegeben werden können und dass nicht fristgerecht abgegebene Stellungnahmen bei der Beschlussfassung über den Bauleitplan unberücksichtigt bleiben können.

Arnstein, 08.10.2024

Klaus
Bürgermeisterin