Titel Logo
Amtsblatt der Einheitsgemeinde Stadt Arnstein
Ausgabe 6/2025
Amtliche Bekanntmachungen
Zurück zur vorigen Seite
Zurück zur ersten Seite der aktuellen Ausgabe

Amtliche Bekanntmachung der Stadt Arnstein

4. Änderung des

vorhabenbezogenen Bebauungsplans Nr. 1 „Windpark Quenstedt“

Bekanntmachung der frühzeitigen Öffentlichkeitsbeteiligung zum Vorentwurf gemäß § 3 Absatz 1 Baugesetzbuch (BauGB)

Der Stadtrat der Stadt Arnstein hat in seiner Sitzung am 7. August 2025 die Aufstellung der 4. Änderung des vorhabenbezogenen Bebauungsplans Nr. 1 „Windpark Quenstedt“ östlich der B180 beschlossen. Der Geltungsbereich entspricht der rechtskräftigen Festsetzung der 3. Änderung des vorhabenbezogenen Bebauungsplans Nr. 1 „Windpark Quenstedt“ (Beschluss-Nr. 94-09-2025).

Der Geltungsbereich ist in der nachfolgenden Übersichtskarte (nicht maßstäblich) dargestellt:

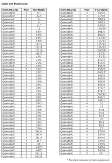
Der räumliche Geltungsbereich umfasst folgende Flurstücke:

Derzeit werden innerhalb des Geltungsbereiches 12 Windenergieanlagen betrieben. Ein Repowering von acht Bestandsanlagen durch sechs leistungsstärkere Anlagen wurde bereits genehmigt. Ziel der Aufstellung der 4. Änderung des vorhabenbezogenen Bebauungsplans Nr. 1 „Windpark Quenstedt“ ist ein Repowering. Im Zuge des geplanten Repowering sollen jeweils 2 bestehende Windenergieanlagen durch größere und leistungsstärkere Windenergieanlagen ersetzt werden.

Gemäß § 3 Abs. 1 BauGB ist die Öffentlichkeit möglichst frühzeitig über Ziele und Zwecke der Planung, sich wesentlich unterscheidende Lösungen, die für die Neugestaltung oder Entwicklung des Gebietes in Betracht kommen und die Auswirkungen der Planung zu unterrichten und ihr ist Gelegenheit zur Äußerung und Erörterung zu geben. Die gemäß § 3 Absatz 1 BauGB erforderliche frühzeitige Unterrichtung der Öffentlichkeit erfolgt durch Veröffentlichung im Internet und ergänzend durch Offenlage im Verwaltungsamt.

Die Veröffentlichung des Vorentwurfes der 4. Änderung des vorhabenbezogenen Bebauungsplans Nr. 1 „Windpark Quenstedt“ bestehend aus der Planzeichnung, der Begründung sowie dem Umweltbericht (Stand: Vorentwurf Oktober 2025) erfolgt in der Zeit

vom 07.01.2026 bis einschließlich 09.02.2026

auf folgenden Internetseiten:

Beteiligungsportal des Landes Sachsen-Anhalt / Stadt Arnstein:

https://beteiligung.sachsen-anhalt.de/portal/Arnstein/startseite

Homepage der Stadt Arnstein (www.arnstein-harz.de):

https://www.arnstein-harz.de/seite/473179/laufende-bauleitverfahren.html

Zusätzlich zur Veröffentlichung im Internet liegen die Planunterlagen im vorgenannten Veröffentlichungszeitraum im Verwaltungsamt der Stadt Arnstein, Bauamt Zimmer 19, Eislebener Chaussee 2, 06456 Arnstein OT Quenstedt während folgender Öffnungszeiten zu jedermanns Einsicht öffentlich aus:

Montag

09:00 bis 12:00 Uhr

Dienstag

09:00 bis 12:00 Uhr und 13:00 bis 15:30 Uhr

Mittwoch

geschlossen

Donnerstag

09:00 bis 12:00 Uhr und 13:00 bis 17:30 Uhr

Freitag

09:00 bis 12:00 Uhr.

Während der Veröffentlichungsfrist können von jedermann Bedenken und Anregungen zum Planentwurf der 4. Änderung des vorhabenbezogenen Bebauungsplans Nr. 1 „Windpark Quenstedt“ abgegeben werden. Stellungnahmen sollen elektronisch übermittelt werden, können bei Bedarf auch auf anderem Weg abgegeben werden (Anschrift: Stadt Arnstein, Eislebener Chaussee 2, 06456 Arnstein).

Es wird darauf hingewiesen, dass Stellungnahmen während der Veröffentlichungsfrist abgegeben werden können und dass nicht fristgerecht abgegebene Stellungnahmen bei der Beschlussfassung über den Bauleitplan unberücksichtigt bleiben können.

Hinweis: Die Behörden und sonstigen Träger öffentlicher Belange sowie die Nachbargemeinden werden gemäß § 4 Absatz 1 BauGB beteiligt und zur Äußerung auch im Hinblick auf den erforderlichen Umfang und Detaillierungsgrad der Umweltprüfung nach § 2 Absatz 4 BauGB aufgefordert.

Arnstein, den 05.12.2025

Klaus
Bürgermeisterin