Titel Logo
Amtliches Mitteilungsblatt des Amtes Nord-Rügen
Ausgabe 2/2024
Amtliche Bekanntmachungen
Zurück zur vorigen Seite
Zurück zur ersten Seite der aktuellen Ausgabe

Satzung der Gemeinde Sagard über die Erhebung von Gebühren zur Deckung der Verbandsbeiträge des Wasser- und Bodenverbandes „Rügen“ 2021

Aufgrund des § 5 der Kommunalverfassung für das Land Mecklenburg-Vorpommern (KV M-V) i. d. F. d. Bekanntmachung vom 13. Juli 2011 (GVOBl. MV 2011 S. 777), zuletzt geändert durch Artikel 3 des Gesetzes vom 18.Dezember 2023 (GVOBl. MV S. 934,939), des § 3 des Gesetzes über die Bildung von Gewässerunterhaltungsverbänden (GUVG) vom 04. August 1992 (GVOBl. MV 1992, S. 458), zuletzt geändert durch Verordnung vom 14. August 2018 (GVOBl. MV 2018 S. 338) sowie der §§ 1, 2 und 6 des Kommunalabgabengesetzes (KAG M-V), i. d. F. d. Bekanntmachung vom 12. April 2005 (GVOBl. MV 2005 S. 146), zuletzt geändert durch Gesetz vom 26.Mai.2023 (GVOBl. MV S. 650) wird nach Beschlussfassung durch die Gemeindevertretung Sagard folgende Satzung erlassen:

§ 1

Allgemeines

(1)

Die Gemeinde Sagard ist Mitglied des Wasser- und Bodenverbandes „Rügen“, der entsprechend § 63 Abs. 1 Nr. 2 des Wassergesetzes des Landes Mecklenburg-Vorpommern (LWaG) in Verbindung mit dem § 40 des Wasserhaushaltsgesetzes (WHG) die Unterhaltung der Gewässer zweiter Ordnung wahrnimmt. Dem Verband können gemäß § 4 GUVG weitere Aufgaben obliegen.

(2)

Die Mitgliedschaft der Gemeinde Sagard besteht für die der Grundsteuerpflicht unterliegenden Flächen. Außerdem erstreckt sich die Mitgliedschaft auf gemeindeeigene Grundstücke, auch wenn sie keiner Grundsteuerpflicht unterliegen.

(3)

Die Gemeinde Sagard hat dem Verband aufgrund des Gesetzes über Wasser- und Bodenverbände (Wasserverbandsgesetz - WVG) und der Satzung des Wasser- und Bodenverbandes „Rügen“ Verbandsbeiträge zu leisten, soweit dies zur Erfüllung seiner Aufgaben erforderlich ist.

§ 2

Gegenstand der Gebühr

(1)

Die von der Gemeinde Sagard nach § 1 Abs. 3 zu leistenden Verbandsbeiträge werden nach den Grundsätzen der §§ 2 und 6 des Kommunalabgabengesetzes (KAG M-V) durch Gebühren denjenigen auferlegt, die Einrichtungen und Anlagen des Verbandes in Anspruch nehmen oder denen der Verband durch seine Einrichtungen, Anlagen und Maßnahmen Vorteile gewährt. Als bevorteilt in diesem Sinne gelten gemäß § 3 Abs. 1Satz 3 GUVG die Eigentümer, Erbbauberechtigten oder sonstigen Nutzungsberechtigten der grundsteuerpflichtigen Grundstücke im Gebiet der Gemeinde Sagard, die im Einzugsbereich des Wasser- und Bodenverbandes „Rügen“ liegen. In den Fällen des § 1 Abs. 2 Satz 2 ist die Gemeinde Sagard bevorteilt.

(2)

Grundstück im Sinne dieser Satzung ist grundsätzlich das entsprechende Flurstück. Es erfolgt eine flurstücksbezogene Abrechnung. Das Flurstück wird in nummerischer Schreibweise (Gemarkungsschlüssel lt. Schlüsselverzeichnis des Landesamtes für interne Verwaltung, Amt für Geoinformation, Vermessungs- und Katasterwesen Mecklenburg-Vorpommern, Flurnummer und Flurstückszähler sowie -nenner) ausgewiesen.

(3)

Zum gebührenfähigen Aufwand gehören neben den Verbandsbeiträgen auch Verwaltungskosten der Gemeinde Sagard. Diese belaufen sich auf zehn Prozent der im Veranlagungsjahr durch den Wasser- und Bodenverband erhobenen Verbandsbeiträge.

(4)

Zu den Gebühren nach dieser Satzung werden Gebührenpflichtige nicht herangezogen, soweit sie für das jeweilige Grundstück an den Verband selbst Verbandsbeiträge zu leisten haben.

(5)

Zur Kostendeckung sollen im jeweils aktuellen Beitragsjahr etwaige Überschüsse oder Fehlbeträge der letzten drei Beitragsjahre dem beitragsfähigen Aufwand zu- respektive angerechnet werden. Infolgedessen ist eine neue Gebührenkalkulation zu erstellen.

§ 3

Gebührenmaßstab und Gebührensatz

(1)

Die Gebühr bemisst sich nach näherer Bestimmung durch die Absätze 3 bis 5 nach der Größe, der Nutzungsart und der Versiegelung der Grundstücke. In dem nach Absatz 3 geltenden Gebührensatz sind die Zu- und Abschläge berücksichtigt, die der Verband bei der Festsetzung der Verbandsbeiträge vornimmt.

Grundlage bildet das Liegenschaftsbuch mit dem Stichtag vom 31. Dezember des dem Erhebungsjahr vorausgehenden Kalenderjahres.

(2)

Soweit eine katasteramtliche Größen- oder Nutzungsartenfeststellung nicht vorliegt, nicht nachgewiesen werden kann oder diese von den realen Gegebenheiten abweicht, erfolgt eine sachgerechte Schätzung durch die Gemeinde Sagard. Die Gebührenpflichtigen sind verpflichtet, erforderliche Unterlagen zur Verfügung zu stellen und Auskunft zu erteilen.

(3)

Die Berechnung der Gebühr erfolgt je angefangener Berechnungseinheit (BE). Eine Berechnungseinheit bemisst sich je angefangene 100 qm. Der grundsätzliche Gebührensatz je Berechnungseinheit beläuft sich auf 0,19 Euro.

(4)

Auf den in Absatz 3 genannten Gebührensatz wird in Abhängigkeit der katasteramtlichen Nutzungsart für

1.

befestigte und bebaute Flächen,

der Nutzungsartengruppen:

NA 11000 – Wohnbaufläche

NA 12000 – Industrie- und Gewerbefläche

NA 15000 – Betriebsfläche, Abbauland, Tagebau

NA 16000 – Fläche gemischter Nutzung

NA 17000 – Fläche bes. funktionaler Prägung

NA 21000 – Straßenverkehrsfläche

NA 22000 – Wegefläche

NA 23000 – Platzfläche

NA 24000 – Bahnverkehrsfläche

NA 25000 – Flugverkehrsfläche,

ein Zuschlag in Höhe von 500 % (Faktor 6) erhoben. Für die genannten Flächen beläuft sich der Gebührensatz somit auf 1,14 Euro je Berechnungseinheit.

2.

Sport-, Freizeit- und Erholungsflächen,

der Nutzungsartengruppen:

NA 18000 – Sport-, Freizeit- u. Erholungsfläche

ein Zuschlag in Höhe von 300 % (Faktor 4) erhoben. Für die genannten Flächen beläuft sich der Gebührensatz somit auf 0,76 Euro je Berechnungseinheit.

3.

Friedhofs- Landwirtschafts- und Schiffverkehrsflächen,

der Nutzungsartengruppen:

NA 19000 – Friedhofsfläche

NA 26000 – Schiffverkehrsfläche

NA 31000 – Landwirtschaftsfläche,

kein Zu- oder Abschlag (Faktor 1) erhoben. Für die genannten Flächen beläuft sich der Gebührensatz somit auf 0,19 Euro je Berechnungseinheit.

4.

unbebaute und unbefestigte Flächen,

der Nutzungsartengruppen:

NA 32000 – Waldfläche

NA 33000 – Gehölzfläche

NA 36000 – Sumpffläche

NA 37000 – Unlandfläche,

ein Abschlag in Höhe von 50 % (Faktor 0,5) gewährt. Für die genannten Flächen beläuft sich der Gebührensatz somit auf 0,10 Euro je Berechnungseinheit.

5.

Gewässerflächen,

der Nutzungsartengruppen:

NA 41000 – Fließgewässer

NA 43000 – Stehende Gewässer,

ein Abschlag in Höhe von 90 % (Faktor 0,1) gewährt. Für die genannten Flächen beläuft sich der Gebührensatz somit auf 0,02 Euro je Berechnungseinheit.

6.

Verbandsgewässer und Meer,

der Nutzungsartengruppen:

NA 42000 – Hafenbecken

NA 44000 – Meer,

ein Abschlag in Höhe von 100 % (Faktor 0) gewährt. Für die genannten Flächen beläuft sich der Gebührensatz somit auf 0,00 Euro je Berechnungseinheit.

(4)

Weisen Teilflächen eines Grundstückes unterschiedliche Nutzungsarten auf, so ist für jede Teilfläche mit einer anderen Nutzungsart die darauf entfallende Gebühr getrennt zu ermitteln. Dies gilt nicht für bebaute und befestigte Flächen entsprechend Abs. 4 Nr. 1, wenn Teile des Grundstücks nicht baulich genutzt werden. (z. Bsp. Hof- und Gartenflächen).

(5)

Die Kosten, die durch zusätzliche Leistungen an Grundstücken und Anlagen an, in bzw. über Gewässern II. Ordnung entstehen (besondere Gebühr für die Erschwernisse der Unterhaltung), insbesondere für:

-

die Abfuhr und Entsorgung des anfallenden Mäh- und Räumgutes

-

der Einsatz von Handarbeitskräften bei den Unterhaltungsarbeiten

-

der Einsatz spezieller Unterhaltungstechnik

-

zusätzliche Unterhaltungsarbeiten die nicht der Sicherung des Wasserabflusses dienen

sind Mehrkosten, die ebenfalls auf die Gebührenpflichtigen gemäß § 4 dieser Satzung umgelegt werden.

(6)

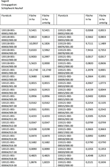
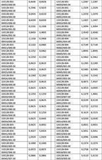
Auf die Schöpfwerksleistung der Gemeinde Sagard wird der Flächenmaßstab innerhalb des Vorteilsgebietes des Schöpfwerkes angewandt.

Über die Flurstücke führt die Gemeinde Sagard ein Verzeichnis. Grundlage hierfür sind die Einzelflurstücksnachweise des Wasser- und Bodenverbandes „Rügen“ über das Einzugsgebiet des Schöpfwerkes Lubitz (Anlage 1).

Als Zuschlag zur Gebühr nach Absatz 3 werden für die in der Anlage 1 aufgeführten Flurstücke des Vorteilsgebiets des Schöpfwerks Lubitz je angefangene 100 qm Fläche 1,13 Euro erhoben.

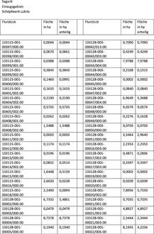
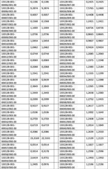
(7)

Auf die Schöpfwerksleistung der Gemeinde Sagard wird der Flächenmaßstab innerhalb des Vorteilsgebietes des Schöpfwerkes angewandt.

Über die Flurstücke führt die Gemeinde Sagard ein Verzeichnis. Grundlage hierfür sind die Einzelflurstücksnachweise des Wasser- und Bodenverbandes „Rügen“ über das Einzugsgebiet des Schöpfwerks Neuhof (Anlage 2).

Als Zuschlag zur Gebühr nach Absatz 3 werden für die in der Anlage 2 aufgeführten Flurstücke des Vorteilsgebiets des Schöpfwerks Neuhof je angefangene 100 qm Fläche 0,20 Euro erhoben.

§ 4

Gebührenpflichtiger

(1)

Gebührenpflichtig ist, wer zum Zeitpunkt der Entstehung der Gebührenschuld Eigentümer, Erbbauberechtigter oder sonstiger Nutzungsberechtigter des Grundstückes ist.

(2)

Bei Wohnungs- und Teileigentum sind die Wohnungs- und Teileigentümer entsprechend ihrem Miteigentumsanteil gebührenpflichtig.

(3)

Eigentümer, Erbbauberechtigte oder sonstige Nutzungsberechtigte des Grundstücks sind verpflichtet, alle für die Veranlagung erforderlichen Angaben wahrheitsgemäß und rechtzeitig zu machen. Sie haben bei örtlichen Feststellungen der Gemeinde Sagard die notwendige Unterstützung zu gewähren.

(4)

Mehrere Gebührenpflichtige haften als Gesamtschuldner.

(5)

Unterliegen Straßen, Wege und Plätze der Grundsteuerpflicht, sind die Träger der Straßenbaulast gebührenpflichtig soweit nicht § 2 Abs. 4 zutrifft.

§ 5

Entstehung der Gebührenschuld, Erhebungszeitraum, Festsetzung und Fälligkeit

(1)

Die Gebührenschuld entsteht am 01. Januar des jeweiligen Veranlagungsjahres. Erhebungszeitraum für die Gebühr ist das Kalenderjahr.

(2)

Die Gebühr wird mittels Gebührenbescheid erhoben.

(3)

Die Gebühr ist einen Monat nach Bekanntgabe des Gebührenbescheides fällig. Die Festsetzung kann für Folgejahre gelten, sofern dies im Gebührenbescheid bestimmt ist. Die Folgewirkung besteht solange weiter, bis ein neuer Gebührenbescheid ergeht. Bei Folgewirkung ist die Gebühr in den folgenden Jahren jeweils am 15. Juli des Jahres fällig. Bei Folgeveranlagung ist nur dann neuer Gebührenbescheid zu erteilen, wenn sich der in § 3 Abs. 3 festgelegte Gebührensatz respektive die Bemessungsgrundlagen verändert haben oder wenn ein Wechsel in der Person des Gebührenpflichtigen eingetreten ist.

(4)

Der Gebührenbescheid kann mit anderen Bescheiden der Gemeinde Sagard über von den Gebührenpflichtigen zu leistende grundstücksbezogene Abgaben zusammengefasst werden.

§ 6

Ordnungswidrigkeiten

Ordnungswidrig im Sinne des § 17 des Kommunalabgabengesetzes (KAG M-V) handelt, wer den Bestimmungen des § 3 Abs. 2 Satz 2 oder des § 4 Abs. 3 dieser Satzung zuwider handelt und es dadurch ermöglicht, Abgaben zu verkürzen oder nicht gerechtfertigte Abgabenvorteile zu erlangen. Die Ordnungswidrigkeit kann mit einer Geldbuße bis zu 5.000,00 € geahndet werden.

§ 7

Inkrafttreten/Außerkrafttreten

Diese Satzung tritt rückwirkend zum 01.01.2021 in Kraft.

Gleichzeitig tritt die Satzung der Gemeinde Sagard über die Erhebung von Gebühren zur Deckung der Verbandsbeiträge des Wasser- und Bodenverbandes „Rügen“ vom 05.07.2022 außer Kraft.

Hinweis :

Gemäß § 5 Abs. 5 der Kommunalverfassung für das Land Mecklenburg-Vorpommern wird darauf hingewiesen, dass ein Verstoß gegen Verfahrens- und Formvorschriften, die in dem genannten Gesetz enthalten oder aufgrund dieses Gesetzes erlassen worden sind, nach Ablauf eines Jahres seit der öffentlichen Bekanntmachung dieser Satzung nicht mehr geltend gemacht werden können. Diese Folge tritt nicht ein, wenn ein Verstoß innerhalb der Jahresfrist schriftlich unter Bezeichnung der verletzten Vorschrift und der Tatsache, aus der sich der Verstoß ergibt gegenüber der Gemeinde Sagard geltend gemacht wird. Abweichend von Satz 1 kann eine Verletzung von Anzeige-, Genehmigungs- oder Bekanntmachungs-vorschriften stets geltend gemacht werden.