Titel Logo
RW-Direkt
Ausgabe 4/2026
Aus der Verwaltung / Ortsgemeinde
Zurück zur vorigen Seite
Zurück zur ersten Seite der aktuellen Ausgabe

Öffentliche Bekanntmachung

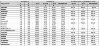
Festsetzung der Grundsteuer A und B, der evangelischen Kirchensteuer, des Landwirtschaftskammerbeitrags und der Hundesteuer der Ortsgemeinden Anhausen, Bonefeld, Breitscheid, Datzeroth, Ehlscheid, Hardert, Hausen, Hümmerich, Kurtscheid, Meinborn, Melsbach, Niederbreitbach, Oberhonnefeld-Gierend, Oberraden, Rengsdorf, Roßbach, Rüscheid, Straßenhaus, Thalhausen und Waldbreitbach für das Jahr 2026

Die Steuerhebesätze für das Jahr 2026 werden zunächst wie folgt festgesetzt:

Der Beitragssatz für die Landwirtschaftskammerbeiträge für das Jahr 2026 bleibt unverändert bei 200 v.H. des Messbetrages zur Grundsteuer A.

Die Beitragssätze zur Erhebung der evangelischen Kirchensteuer bleiben gegenüber dem Vorjahr unverändert und werden durch Beschluss der Presbyterien der evangelischen Kirchengemeinden Anhausen, Honnefeld und Rengsdorf auf 20 % des Grundsteuermessbetrages A sowie 10 % des Grundsteuermessbetrages B festgesetzt.

Für alle diejenigen Grundstücke, deren Bemessungsgrundlage (Messbetrag) sich seit der letzten Bescheiderteilung nicht geändert hat, wird deshalb durch diese öffentliche Bekanntmachung gem. § 27 III Grundsteuergesetz (GrStG) die Grundsteuer für das Kalenderjahr 2026 in der zuletzt veranlagten Höhe festgesetzt. Ebenso wird die evangelische Kirchensteuer in der zuletzt veranlagten Höhe festgesetzt.

Für alle Hundehalter, deren Bemessungsgrundlage sich seit der letzten Bescheiderteilung nicht geändert hat, wird durch diese öffentliche Bekanntmachung der Satzung über die Erhebung der Hundesteuer der jeweiligen Ortsgemeinde die Hundesteuer für das Kalenderjahr 2026 in der zuletzt veranlagten Höhe festgesetzt.

Die Grundsteuer A und B sowie die evangelische Kirchensteuer werden mit den in den zuletzt erteilten Steuer- und Abgabenbescheiden festgesetzten Vierteljahresbeiträgen jeweils am 15. Februar, 15. Mai, 15. August und 15. November 2026 fällig.

Für Steuerpflichtige, die von der Möglichkeit des § 28 III GrStG Gebrauch gemacht haben (Zahlung in einem Jahresbetrag), werden die v. g. Steuern und Abgaben in einem Betrag am 01. Juli 2026 fällig.

Die Hundesteuer wird grundsätzlich zum 01. Juli 2026 fällig.

Mit dem Tag der öffentlichen Bekanntmachung dieser Steuerfestsetzung treten für die Steuerschuldner die gleichen Rechtswirkungen ein, wie wenn Ihnen an diesem Tag ein schriftlicher Steuer- und Abgabenbescheid zugegangen wäre.

Rechtsbehelfsbelehrung:

Gegen diese Steuerfestsetzung kann innerhalb eines Monats nach Bekanntgabe Widerspruch erhoben werden. Der Widerspruch ist bei der Verbandsgemeindeverwaltung Rengsdorf-Waldbreitbach, Westerwaldstraße 32-34, 56579 Rengsdorf, schriftlich oder zur Niederschrift einzulegen. Bei schriftlicher Einlegung des Widerspruchs ist die Widerspruchsfrist nur gewahrt, wenn der Widerspruch noch vor Ablauf dieser Frist (Satz 1) bei der oben genannten Behörde eingegangen ist.

Die Schriftform kann durch die elektronische Form ersetzt werden. In diesem Fall ist das elektronische Dokument mit einer qualifizierten elektronischen Signatur zu versehen.

Bei der Verwendung der elektronischen Form sind besondere technische Rahmenbedingungen zu beachten, die im Internet unter www.rengsdorf-waldbreitbach.de (Impressum, Elektronische Kommunikation) aufgeführt sind.

Die Einlegung eines Widerspruchs entbindet nicht von der fristgerechten Zahlung des angeforderten Betrages.

Einwendungen, die sich gegen die Festsetzung der Steuermessbeträge richten, sind bei dem Finanzamt anzubringen, das den Steuermessbescheid erlassen hat. Für die Einlegung des Einspruchs gilt die im Steuermessbescheid des Finanzamtes geltende Rechtsbehelfsbelehrung.

Verbandsgemeindeverwaltung Rengsdorf-Waldbreitbach, 23. Januar 2026
Pierre Fischer, Bürgermeister