Titel Logo
Blaues Ländchen aktuell - Heimat- u Bürgerzeitung VG Nastätten
Ausgabe 34/2022
Amtliche Bekanntmachungen
Zurück zur vorigen Seite
Zurück zur ersten Seite der aktuellen Ausgabe

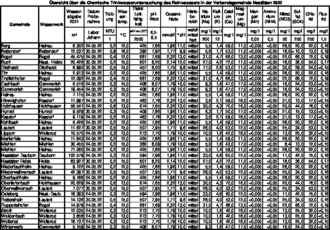
Chemische Trinkwasseruntersuchung 2022

im Bereich der Verbandsgemeinde Nastätten

Die Verbandsgemeindewerke Nastätten bitten um Beachtung der Übersicht über die Untersuchungsergebnisse der vom Mittelrheinlabor im Mai 2022 erstellten chemischen Analysen des Trinkwassers in der Verbandsgemeinde Nastätten nach der Trinkwasserverordnung.

Insbesondere bitten wir um Beachtung der Härtebereiche nach dem Waschmittelgesetz:

  • Härtebereich weich (weniger als 1,5 mmol Calciumcarbonat je Liter, entspricht 8,4 °dH)
  • Härtebereich mittel (1,5 bis 2,5 mmol Calciumcarbonat je Liter, entspricht 8,4 bis 14 °dH)
  • Härtebereich hart (mehr als 2,5 mmol Calciumcarbonat je Liter, entspricht mehr als 14 °dH)

Diese Angaben sind bei der Dosierung der Waschmittel zu beachten.

Die Stadt Nastätten ist in zwei Versorgungsbereiche aufgeteilt.

Der Bereich "Hochbehälter Heide" versorgt die Hochzone, das heißt: Hasenläufer, Schwalbacher Straße vom Ortsausgang bis Einmündung Schillerstraße, die Schillerstraße, Lessingstraße, Kantstraße, Uhlandstraße, Goethestraße, Hermann-Löns-Straße, Sauerbornsweg von Goethestraße bis Wilhelm-Nesen-Straße, Wilhelm-Nesen-Straße von Freiherr-vom-Stein-Straße bis Schwalbacher Straße und Gronauer Graben, Am Mühlberg, Dornbusch, Am Holler -oberhalb der Querspange, In der Förth und die Ortslage Buch. Über den Zwischenbehälter an der Schwalbacher Straße wird die Tiefzone versorgt, das heißt: die Oberstraße, Römerstraße bis Bahnhofstraße, die Rheingaustraße bis Einmündung Schwalbacher Straße, die Zeil, die Rheinstraße bis Kreuzung Hoster/ Brühlstraße, die Hoster und die Brühlstraße. Ca. 1/3 des Bedarfs des Wasserwerkes Heide (Hochzone) und damit auch der Tiefzone wird durch Zukaufwasser des Rhein-Hunsrück-Wasser Zweckverbandes gedeckt.

Der Bereich "Hochbehälter Dauborn" versorgt die Mittelzone, das heißt die übrigen oben nicht genannten Straßen und die Ortslage Oelsberg. Ca. die Hälfte des Bedarfs des Wasserwerkes Dauborn wird durch Zukaufwasser des Rhein-Hunsrück-Wasser-Zweckverbandes gedeckt.

Das Wasserwerk Miehlen versorgt zum Zeitpunkt der Probenahme den Bereich Grundschule, Baugebiet Ehrlich, Baugebiet Alter Bahnhof, Haargasse, Krämergasse und die Hauptstraße von Bahnhofstraße bis Ortsausgang Richtung Hunzel und das Ferienhausgebiet Hauserbach.

Wir bitten um Beachtung.

Nastätten, den 16.08.2022 — 
Verbandsgemeindewerke Nastätten — 
- Eigenbetrieb für Wasserversorgung und Abwasserbeseitigung - —